Zum Hauptinhalt springen
Verein
SCC BERLIN
Über uns
Präsidium
Geschäftsstelle
Kinder- und Jugendschutzbeauftragte
Ansprechpartner der Abteilungen
Kontaktpersonen
Zukunftsteam
Geschichte
Die Vorsitzenden des SCC
Marathon-Geschichte
Vereinssatzung
Freie Trägerschaft der Jugendhilfe
eFöB an der Erwin-von-Witzleben Grundschule
eFöB an der Paula-Fürst-Schule
Verleihungen
Ehrenmitglieder
Ehrenmitglieder der Abteilungen
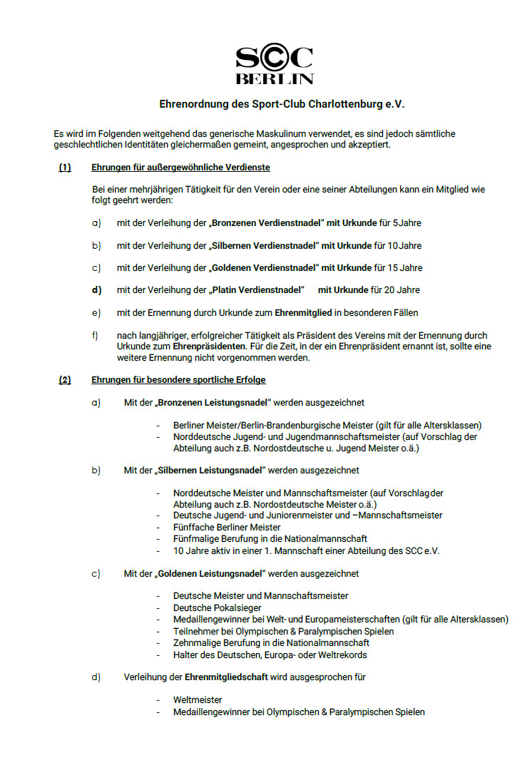
Ehrenordnung
Besondere Ehrungen
Goldene Leistungsnadel
Goldene Verdienstnadel
Platin-Verdienstnadel
Auszeichnungen
Durch die Bundesrepublik Deutschland
Durch das Land Berlin/Bezirk
Durch den LSB Berlin
Grünes Band
Service & Kontakt
Anfahrt
Links
Impressum
Medieneinsatz
Datenschutzerklärung
Cookies
Sportarten
News
Termine & Veranstaltungen
Aktuelle Nachrichten
Das Schwarze C
Newsletter-Archiv
FAQ
Shop
Mitglied werden
Verein
SCC BERLIN
Über uns
Präsidium
Geschäftsstelle
Kinder- und Jugendschutzbeauftragte
Ansprechpartner der Abteilungen
Kontaktpersonen
Zukunftsteam
Geschichte
Die Vorsitzenden des SCC
Marathon-Geschichte
Vereinssatzung
Freie Trägerschaft der Jugendhilfe
eFöB an der Erwin-von-Witzleben Grundschule
eFöB an der Paula-Fürst-Schule
Verleihungen
Ehrenmitglieder
Ehrenmitglieder der Abteilungen
Ehrenordnung
Besondere Ehrungen
Goldene Leistungsnadel
Goldene Verdienstnadel
Platin-Verdienstnadel
Auszeichnungen
Durch die Bundesrepublik Deutschland
Durch das Land Berlin/Bezirk
Durch den LSB Berlin
Grünes Band
Service & Kontakt
Anfahrt
Links
Impressum
Medieneinsatz
Datenschutzerklärung
Cookies
Sportarten
News
Termine & Veranstaltungen
Aktuelle Nachrichten
Das Schwarze C
Newsletter-Archiv
FAQ
Shop
Mitglied werden
Ehrenordnung
Hier können Sie die Ehrenordnung des SCC BERLIN herunterladen.
PDF herunterladen